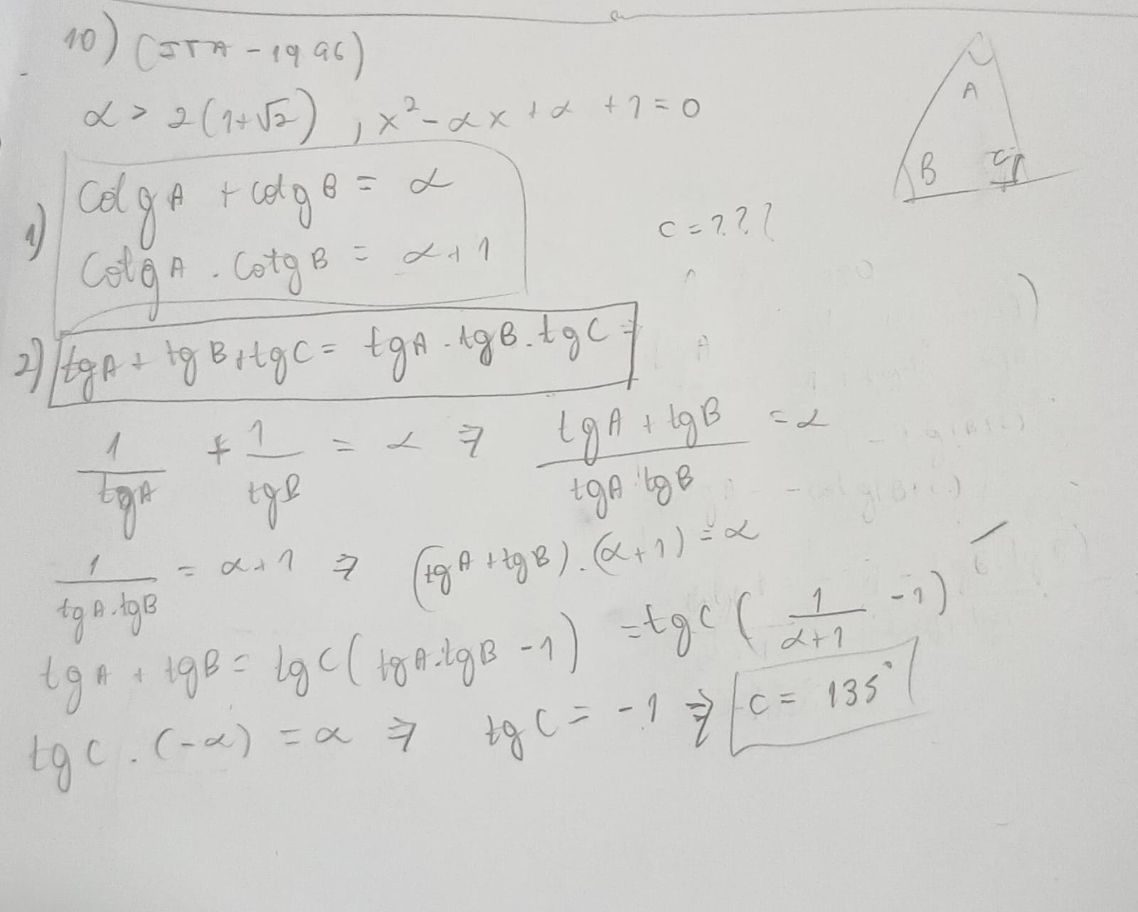
Seja um número real tal que e considere a equação Sabendo que as raízes dessa equação são cotangentes de dois dos ângulos internos de um triângulo, então o terceiro ângulo interno desse triângulo vale:
CossenoGPT
Teste
gratuitamente agora
mesmo! 

A priori, é importante perceber que a equação de segundo grau admite raízes reais, em vista da desigualdade do enunciado. Dessa forma, aplicando $\text{Girard}$, podemos encontrar:\begin{cases} \cot{x_1} &+& \cot{x_2} &=& \alpha \\ \cot{x_1} &.& \cot{x_2} &=& \alpha + 1
\end{cases}Com conhecimento da $\text{Cotangente da Soma}$: \begin{matrix} \cot{ (x_1 + x_2)} &=& { \dfrac{ \cot{x_1} \cdot \cot{x_2} - 1}{ \cot{x_1} + \cot{x_2}} } \\ \\
\cot{ (x_1 + x_2)} &=& { \dfrac{(\alpha +1) -1 }{\alpha} } \\ \\ \cot{ (x_1 + x_2)} &=& 1
\end{matrix}
\begin{matrix} \fbox{$(x_1 + x_2) = 45^{\circ}$}
\end{matrix}
Assim,
\begin{matrix} \fbox{$x_3= 135^{\circ}$} \\ \\ Letra \ (D)
\end{matrix}$\color{orangered}{Obs:}$ $\text{Cotangente da Soma}$ \begin{matrix} \cot{(a+b)} &=& \Large{ \frac{\cos{(a+b)}}{\sin{(a+b)}}} & = & \Large{ \frac{\cos{a}.\cos{b} - \sin{a}.\sin{b}}{\sin{a}.\cos{b}+\sin{b}.\cos{a}}} . \color{royalblue}{\frac{\sin{a}.\sin{b}}{\sin{a}.\sin{b}}}
\end{matrix}\begin{matrix} \cot{ (a + b)} &=& \Large{ \frac{ \cot{a} . \cot{b} - 1}{ \cot{a} + \cot{b}} }
\end{matrix}
Ampliar Imagem

